Función PMT( )

Devuelve el importe del pago periódico (capital + interés) necesario para cancelar un pago.

Sintaxis

PMT(tasa; períodos; cantidad  <;tipo)

Parámetros

Nombre Tipo Descripción
tasa numérico

La tasa de interés por período.

períodos numérico

El número total de períodos de pago.

cantidad numérico

La cantidad de capital del préstamo.

tipo

opcional

numérico

El momento de los pagos:

  • 0: pago al final de un período
  • 1: pago al principio de un período

Si se omite, se utiliza el valor predeterminado 0.

Nota

Debe usar períodos de tiempo uniformes al especificar la tasa y los períodos a fin de asegurarse de estar especificando la tasa de interés por período.

Por ejemplo:

  • para pagos mensuales en una inversión o un préstamo a dos años, con un interés del 5 % anual, especifique 0.05/12 para la tasa y 2 * 12 para los períodos
  • para pagos anuales del mismo préstamo o inversión, especifique 0.05 para la tasa y 2 para los períodos

Salida

Numérico.

Ejemplos

Ejemplos básicos

Devuelve 1856,82, el pago mensual (capital inicial + interés) necesario para pagar un préstamo de $275.000 a 25 años e intereses del 6,5 % anual, con pagos que vencen a fin de mes:

PMT(0,065/12; 12*25; 275000; 0)

Devuelve 1846,82, el pago mensual (capital inicial + interés) necesario para pagar el mismo préstamo, con pagos que vencen a principio de mes:

PMT(0,065/12; 12*25; 275000; 1)

Ejemplos avanzados

Cálculos de las anualidades

Los cálculos de las anualidades involucran cuatro variables:

  • valor presente o valor futuro en los ejemplos siguientes, $21,243.39 y $ 26,973.46
  • importe de pago por período en los ejemplos siguientes, $1,000.00
  • tasa de interés por período en los ejemplos siguientes, 1 % mensual
  • cantidad de períodos en los ejemplos siguientes, 24 meses

Si conoce el valor de tres de las variables, puede utilizar una función de Analytics para calcular el cuarto valor.

Si desea determinar: Función de Analytics que se debe usar:
Valor presente

PVANNUITY( )

Devuelve 21243.39:

PVANNUITY(0.01; 24; 1000)
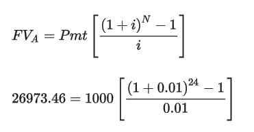
Valor futuro

FVANNUITY( )

Devuelve 26973.46:

FVANNUITY(0.01; 24; 1000)
Importe de pago por período

PMT( )

Devuelve 1000:

PMT(0.01; 24; 21243.39)
Tasa de interés por período

RATE( )

Devuelve 0.00999999 (1 %):

RATE(24; 1000; 21243.39)
Número de períodos

NPER( )

Devuelve 24.00:

NPER(0.01; 1000; 21243.39)

Fórmulas para la anualidad

La fórmula para calcular el valor presente de una anualidad ordinaria (pago al final de un período):

La fórmula para calcular el valor futuro de una anualidad ordinaria (pago al final de un período):