Fonction PMT( )

Renvoie le montant du paiement périodique (capital + intérêt) requis pour rembourser un emprunt.

Syntaxe

PMT(taux; périodes; quantité <;type>)

Paramètres

Nom Type Description
taux numérique

Taux d'intérêt par période.

périodes numérique

Nombre total de périodes de paiement.

quantité numérique

Capital de l'emprunt.

type

optionnel

numérique

Date des paiements :

  • 0 : paiement en fin de période
  • 1 : paiement en début de période

Si vous ignorez ce paramètre, c'est la valeur par défaut de 0 qui est utilisée.

Remarque

Vous devez utiliser des périodes temporelles cohérentes lorsque vous spécifiez taux et périodes pour vous assurer que vous spécifiiez un taux d'intérêt par période.

Par exemple :

  • dans le cas de paiements mensuels, sur un emprunt ou un investissement d'une durée de deux ans avec un taux d'intérêt de 5 % par an, spécifiez 0,05/12 pour taux et 2 * 12 pour périodes
  • dans le cas de paiements annuels sur le même prêt ou investissement, indiquez 0,05 pour taux et 2 pour périodes

Sortie

Numérique.

Exemples

Exemples de base

Renvoie 1856.82, le paiement mensuel (capital + interêt) requis pour rembourser un emprunt 275 000 $ sur 25 ans à 6,5 % par an, avec des paiements dus à la fin du mois :

PMT(0,065/12; 12*25; 275000; 0)

Renvoie 1856,82, le paiement mensuel (capital + interêt) requis pour rembourser le même emprunt, avec des paiements dus au début du mois :

PMT(0,065/12; 12*25; 275000)

Exemples avancés

Calculs d'annuité

Les calculs d'annuité impliquent quatre variables :

  • valeur actualisée ou valeur capitalisée $21243,39 et $ 26973,46 dans les exemples ci-après
  • montant de paiement par période $1000,00 dans les exemples ci-après
  • taux d'intérêt par période 1 % par mois dans les exemples ci-après
  • nombre de périodes 24 mois dans les exemples ci-après

Si vous connaissez la valeur de trois des variables, vous pouvez utiliser une fonction Analytics pour calculer la quatrième.

Je souhaite trouver : Fonction Analytics à utiliser :
Valeur actualisée

PVANNUITY( )

Renvoie 21243,39 :

PVANNUITY(0,01; 24; 1000)
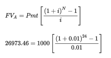
Valeur capitalisée

FVANNUITY( )

Renvoie 26973,46 :

FVANNUITY(0,01; 24; 1000)
Montant du paiement par période

PMT( )

Renvoie 1000 :

PMT(0,01; 24; 21243,39)
Taux d'intérêt par période

RATE( )

Renvoie 0,00999999 (1 %) :

RATE(24; 1000; 21243,39)
Nombre de périodes

NPER( )

Renvoie 24,00 :

NPER(0,01; 1000; 21243,39)

Formules de calcul des rentes

La formule permettant de calculer la valeur actualisée d'une rente ordinaire (paiement à la fin d'une période) :

La formule permettant de calculer la valeur capitalisée d'une rente ordinaire (paiement à la fin d'une période) :