Função PVANNUITY( )

Retorna o valor presente de uma série de pagamentos futuros, calculado usando uma taxa de juros constante. O valor presente é o valor atual para um único pagamento.

Sintaxe

PVANNUITY(taxa; períodos; pagamento <;tipo>)

Parâmetros

Nome Tipo Descrição
taxa numérico

A taxa de juros por período.

períodos numérico

O número total de períodos de pagamento.

pagamento numérico

O pagamento por período.

O valor do pagamento deve ser constante ao longo da anuidade.

tipo

opcional

numérico

A programação dos pagamentos:

  • 0 – pagamento no final do período
  • 1 – pagamento no início do período

Se omitido, o valor padrão 0 é usado.

Nota

Você deve usar períodos consistentes para especificar taxa, períodos e pagamento para garantir que está especificando a taxa de juros por período.

Por exemplo:

  • para um pagamento mensal de um empréstimo ou investimento de dois anos com juros de 5% ao ano, especifique 0,05/12 como taxa e 2 * 12 como períodos
  • para um pagamento anual do mesmo empréstimo ou investimento, especifique 0,05 como taxa e 2 como períodos

Saída

Numérico. O resultado é calculado para duas casas decimais.

Exemplos

Exemplos básicos

Pagamentos mensais

Retorna 21455,82, o valor presente de $ 1.000 pagos no início de cada mês por 2 anos a 1% ao mês, compostos mensalmente:

PVANNUITY(0,01; 2*12; 1000; 1)

Pagamentos anuais

Retorna 20280,61, o valor presente de $ 12.000 pagos ao final de cada ano por 2 anos a 12% ao ano, compostos anualmente:

PVANNUITY(0,12; 2; 12000, 0)

Exemplos avançados

Cálculos de anuidade

Os cálculos de anuidade envolvem quatro variáveis:

  • valor presente ou valor futuro US$ 21.243,39 e US$ 26.973,46 nos exemplos abaixo
  • valor do pagamento por período US$ 1.000,00 nos exemplos abaixo
  • taxa de juros por período 1% por mês nos exemplos abaixo
  • número de períodos 24 meses nos exemplos abaixo

Se você souber o valor de três das variáveis, poderá usar uma função do Analytics para calcular a quarta.

Eu quero descobrir: Função do Analytics a ser usada:
Valor presente

PVANNUITY( )

Retorna 21243,39:

PVANNUITY(0,01; 24; 1000)
Valor futuro

FVANNUITY( )

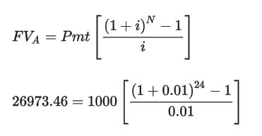
Retorna 26973,46:

FVANNUITY(0,01; 24; 1000)
Valor do pagamento por período

PMT( )

Retorna 1000:

PMT(0,01; 24; 21243,39)
Taxa de juros por período

RATE( )

Retorna 0,00999999 (1%):

RATE(24; 1000; 21243,39)
Número de períodos

NPER( )

Retorna 24,00:

NPER(0,01; 1000; 21243,39)

Fórmulas de anuidade

A fórmula para calcular o valor presente de uma anuidade ordinária (pagamento no final de um período):

A fórmula para calcular o valor futuro de uma anuidade ordinária (pagamento no final de um período):

Observações

Funções relacionadas

A função FVANNUITY( ) é o inverso da função PVANNUITY( ).