PMT( ) 函数
返回清偿贷款所需的定期付款金额(本金 + 利息)。
语法
PMT(利率,期间,金额 <,类型>)
参数
| 名称 | 类型 | 描述 |
|---|---|---|
| 利率 | 数值 |
每一期间的利率。 |
| 期间 | 数值 |
付款期间总数。 |
| 金额 | 数值 |
贷款的本金金额。 |
|
类型 可选 |
数值 |
付款的及时性:
如果将其省略,则使用默认值 0。 |
说明
在指定利率和期间时,您必须使用一致的期间,以确保按期间指定利率。
例如:
- 对于年利率为 5% 的两年期贷款或投资的每月付款,请为利率指定 0.05/12,为期间指定 2 * 12。
- 对于相同的贷款或投资的年度付款,请为利率指定 0.05,为期间指定 2。
输出
数值。
示例
基本示例
返回 1856.82,这是为付清以下贷款而需要每月支付的金额(本金 + 利息):贷款总额为 $275,000,贷款期限为 25 年,年利率为 6.5%,付款在每月末到期:
PMT(0.065/12, 12*25, 275000, 0)
返回 1846.82,这是为付清相同贷款而需要每月支付的金额(本金 + 利息),付款在每月初到期:
PMT(0.065/12, 12*25, 275000, 1)
高级示例
年金计算
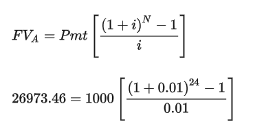
年金计算涉及四个变量:
- 现值或终值 在下例中为 $21,243.39 和 $ 26,973.46
- 每个期间的付款金额 在下例中为 $1,000.00
- 每个期间的利率 在下例中为 1%/月
- 期间数 在下面的示例中为 24 个月
如果您知道其中三个变量的值,就可以使用 Analytics 函数计算第四个变量的值。
| 我想要知道: | 要使用的 Analytics 函数: |
|---|---|
| 现值 |
PVANNUITY( ) 返回 21243.39: PVANNUITY(0.01, 24, 1000) |
| 终值 |
FVANNUITY( ) 返回 26973.46: FVANNUITY(0.01, 24, 1000) |
| 每个期间的付款金额 |
PMT( ) 返回 1000: PMT(0.01, 24, 21243.39) |
| 每个期间的利率 |
RATE( ) 返回 0.00999999 (1%): RATE(24, 1000, 21243.39) |
| 期间数 |
NPER( ) 返回 24.00: NPER(0.01, 1000, 21243.39) |
年金公式
用于计算普通年金(在期末付款)的现值的公式:
用于计算普通年金(在期末付款)的终值的公式: