PVANNUITY( )-Funktion

Gibt den Barwert einer Reihe zukünftiger Zahlungen unter Verwendung eines konstanten Zinssatzes zurück. Der Barwert ist der aktuelle Pauschalwert.

Syntax

PVANNUITY(Zinssatz; Perioden; Zahlung <;Typ>)

Parameter

Name Typ Beschreibung
Zinssatz numerisch

Der Zinssatz pro Periode.

Perioden numerisch

Die Gesamtanzahl der Zahlungsperiode.

Zahlung numerisch

Die Zahlung pro Periode.

Der Zahlungsbetrag kann sich während der Laufzeit der Annuität nicht ändern.

Typ

Optional

numerisch

Das Timing der Zahlungen:

  • 0 – Zahlung am Ende einer Periode
  • 1 – Zahlung am Beginn einer Periode

Durch Auslassen wird der Standardwert „0“ verwendet.

Hinweis

Wenn Sie Zins, Perioden und Zahlung festlegen, müssen Sie konsistente Zeiträume verwenden, um sicherzustellen, dass Sie einen Zins pro Periode festlegen.

Beispiel:

  • Für eine monatliche Zahlung eines zweijährigen Kredits oder einer Investition mit Zinsen von jährlich 5 % legen Sie 0,05/12 als Zins und 2*12 für Perioden fest.
  • Für eine jährliche Zahlung dieses Kredits oder der Investition legen Sie 0,05 für Zins und 2 für Perioden fest.

Ausgabe

Numerisch. Das Ergebnis wird mit zwei Dezimalstellen berechnet.

Beispiele

Einfache Beispiele

Monatliche Zahlungen

Gibt „21455,82“ zurück, den Barwert einer Zahlung von 1.000 EUR am Monatsanfang über zwei Jahre zu 1% monatlich bei monatlicher Berechnung:

PVANNUITY(0,01; 2*12; 1000; 1)

Jährliche Zahlungen

Gibt „20280,61“ zurück, den Barwert einer Zahlung von 12.000 EUR am Jahresende über zwei Jahre zu 12% jährlich bei jährlicher Berechnung:

PVANNUITY(0,12; 2; 12000; 0)

Weiterführende Beispiele

Annuitätsberechnungen

Annuitätsberechnungen umfassen vier Variablen:

  • Barwert oder Zukunftswert $21.243,39 und $26.973,46 in den folgenden Beispielen
  • Zahlungsbetrag pro Periode $1.000,0 in den folgenden Beispielen
  • Zinsen pro Periode 1% pro Monat in den folgenden Beispielen
  • Anzahl der Perioden 24 Monate in den folgenden Beispielen

Wenn Sie den Wert von drei der Variablen kennen, können Sie eine Analytics-Funktion zur Berechnung der vierten verwenden.

Gesucht: Zu verwendende Analytics-Funktion:
Barwert

PVANNUITY( )

Gibt „21243,39“ zurück:

PVANNUITY(0,01; 24; 1000)
Zukunftswert

FVANNUITY( )

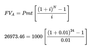
Gibt 26973,46 zurück:

FVANNUITY(0,01; 24; 1000)
Zahlungsbetrag pro Periode

PMT( )

Gibt 1000 zurück:

PMT(0,01; 24; 21243,39)
Zinssatz pro Periode.

RATE( )

Gibt „0,00999999“ (1%) zurück:

RATE(24; 1000; 21243,39)
Anzahl Perioden

NPER( )

Gibt 24,00 zurück:

NPER(0,01; 1000; 21243,39)

Annuitätsformeln

Die Formel zur Berechnung des Barwerts einer nachschüssigen Annuität (Zahlung am Ende einer Periode):

Die Formel zur Berechnung des Zukunftswerts einer nachschüssigen Annuität (Zahlung am Ende einer Periode):

Bemerkungen

Verwandte Funktionen

Die Funktion FVANNUITY( ) ist die Umkehrfunktion der Funktion PVANNUITY( ).