Función FVANNUITY( )

Devuelve el valor futuro de una serie de pagos que se calculan utilizando una tasa de interés constante. El valor futuro es la suma de los pagos más el interés compuesto acumulado.

Sintaxis

FVANNUITY(tasa; períodos; pago <;tipo>)

Parámetros

Nombre Tipo Descripción
tasa numérico

La tasa de interés por período.

períodos numérico

El número total de períodos de pago.

pago numérico

El pago por período.

El importe del pago debe ser constante durante el período de validez de la renta vitalicia.

Tipo de

opcional

numérico

El momento de los pagos:

  • 0: pago al final de un período
  • 1: pago al principio de un período

Si se omite, se utiliza el valor predeterminado 0.

Nota

Debe usar períodos de tiempo uniformes al especificar la tasa, los períodos y el pago a fin de asegurarse de estar especificando la tasa de interés por período.

Por ejemplo:

  • para un pago mensual en una inversión o un préstamo a dos años, con un interés del 5 % anual, especifique 0.05/12 para la tasa y 2 * 12 para los períodos
  • para un pago anual del mismo préstamo o inversión, especifique 0.05 para la tasa y 2 para los períodos

Salida

Numérico. El resultado se calcula con dos lugares decimales.

Ejemplos

Ejemplos básicos

Pagos mensuales

Devuelve 27243,20, el valor futuro de $1.000 pagado al inicio de cada mes durante 2 años al 1 % mensual, compuesto mensualmente:

FVANNUITY(0,01; 2*12; 1000; 1)

Devuelve 12809,33, el valor futuro de la misma renta vitalicia después del primer año:

FVANNUITY(0,01; 12; 1000; 1)

Pagos anuales

Devuelve 25440,00, el valor futuro de $12.000 pagado al final de cada año durante dos años al 12 % anual, compuesto anualmente:

FVANNUITY(0,12; 2; 12000; 0)

Ejemplos avanzados

Cálculos de las anualidades

Los cálculos de las anualidades involucran cuatro variables:

  • valor presente o valor futuro en los ejemplos siguientes, $21,243.39 y $ 26,973.46
  • importe de pago por período en los ejemplos siguientes, $1,000.00
  • tasa de interés por período en los ejemplos siguientes, 1 % mensual
  • cantidad de períodos en los ejemplos siguientes, 24 meses

Si conoce el valor de tres de las variables, puede utilizar una función de Analytics para calcular el cuarto valor.

Si desea determinar: Función de Analytics que se debe usar:
Valor presente

PVANNUITY( )

Devuelve 21243.39:

PVANNUITY(0.01; 24; 1000)
Valor futuro

FVANNUITY( )

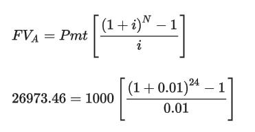
Devuelve 26973.46:

FVANNUITY(0.01; 24; 1000)
Importe de pago por período

PMT( )

Devuelve 1000:

PMT(0.01; 24; 21243.39)
Tasa de interés por período

RATE( )

Devuelve 0.00999999 (1 %):

RATE(24, 1000, 21243.39)
Número de períodos

NPER( )

Devuelve 24.00:

NPER(0.01, 1000, 21243.39)

Fórmulas para la anualidad

La fórmula para calcular el valor presente de una anualidad ordinaria (pago al final de un período):

La fórmula para calcular el valor futuro de una anualidad ordinaria (pago al final de un período):

Observaciones

Funciones relacionadas

La función PVANNUITY( ) es la inversa de la función FVANNUITY( ).