Fonction RATE( )
Renvoie le taux d'intérêt par période.
Syntaxe
RATE(périodes; règlement; quantité)
Paramètres
| Nom | Type | Description |
|---|---|---|
| périodes | numérique |
Nombre total de périodes de paiement. |
| règlement | numérique |
Paiement par période. |
| quantité | numérique |
Capital de l'emprunt. |
Remarque
La fonction RATE( ) part du principe que les paiements sont effectués à la fin de chaque période.
Sortie
Numérique. Le taux est calculé jusqu'à la huitième décimale.
Exemples
Exemples de base
Renvoie 0,00541667 (0,54 %), le taux d'intérêt mensuel découlant d'un emprunt de 275 000 $ sur vingt-cinq ans avec des paiements mensuels de 1 856,82 $ :
RATE(12*25; 1856,82; 275000)
Renvoie 0,06500004 (6,5 %), le taux d'intérêt annuel découlant du même emprunt :
RATE(12*25; 1856,82; 275000)*12
Exemples avancés
Conversion du taux nominal en taux effectif
La fonction RATE( ) calcule le taux d'intérêt nominal. Vous pouvez vous servir de la fonction EFFECTIVE( ) pour convertir le résultat de RATE( ) au taux d'intérêt effectif.
Renvoie 0,06715155 (6,7 %), le taux d'intérêt effectif annuel découlant du même emprunt dans les exemples ci-dessus :
EFFECTIVE((RATE(12*25; 1856,82; 275000)*12); 12*25)
Calculs d'annuité
Les calculs d'annuité impliquent quatre variables :
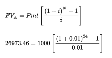
- valeur actualisée ou valeur capitalisée $21243,39 et $ 26973,46 dans les exemples ci-après
- montant de paiement par période $1000,00 dans les exemples ci-après
- taux d'intérêt par période 1 % par mois dans les exemples ci-après
- nombre de périodes 24 mois dans les exemples ci-après
Si vous connaissez la valeur de trois des variables, vous pouvez utiliser une fonction Analytics pour calculer la quatrième.
| Je souhaite trouver : | Fonction Analytics à utiliser : |
|---|---|
| Valeur actualisée |
PVANNUITY( ) Renvoie 21243,39 : PVANNUITY(0,01; 24; 1000) |
| Valeur capitalisée |
FVANNUITY( ) Renvoie 26973,46 : FVANNUITY(0,01; 24; 1000) |
| Montant du paiement par période |
PMT( ) Renvoie 1000 : PMT(0,01; 24; 21243,39) |
| Taux d'intérêt par période |
RATE( ) Renvoie 0,00999999 (1 %) : RATE(24; 1000; 21243,39) |
| Nombre de périodes |
NPER( ) Renvoie 24,00 : NPER(0,01; 1000; 21243,39) |
Formules de calcul des rentes
La formule permettant de calculer la valeur actualisée d'une rente ordinaire (paiement à la fin d'une période) :
La formule permettant de calculer la valeur capitalisée d'une rente ordinaire (paiement à la fin d'une période) :