NPER( ) 関数
貸付金を完済するのに必要な期間の数値を返します。
構文
NPER(利率, 支払金額, 金額 <,種類>)
パラメーター
| 名前 | 種類 | 説明 |
|---|---|---|
| 利率 | 数値 |
1 期あたりの利率。 |
| 支払金額 | 数値 |
1 期間あたりの支払金額。 |
| 金額 | 数値 |
貸付金の元金。 |
|
のタイプ 任意 |
数値 |
支払いのタイミング:
支払いのタイミングが省略された場合は、デフォルト値の 0 が使用されます。 |
出力
数値。
例
基本的な例
毎月末までに $1,856.82 を支払うことによって年利 6.5% の貸付金、$275,000 を完済するのに必要な月数、300.00 が返されます。
NPER(0.065/12, 1856.82, 275000, 0)
毎月末までに $2,000 を支払うことによって同じ貸付金を完済するのに必要な月数、252.81 が返されます。
NPER(0.065/12, 2000, 275000, 0)
毎月月初までに $2,000 を支払うことによって同じ貸付金を完済するのに必要な月数、249.92 が返されます。
NPER(0.065/12, 1856.82, 275000, 0)
高度な例
年金の計算
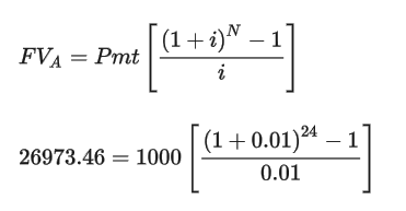
年金の計算では、次の 4 つの変数が使用されます。
- 現在価値または将来価値 下の例では $21,243.39 と $ 26,973.46
- 1 期間あたりの支払金額 下の例では $1,000.00
- 1 期間あたりの利率 下の例では月あたり 1%
- 期間の数 下の例では 24 か月
これらの変数のうち 3 つの値がわかっている場合は、Analytics 関数を使って残りの変数の値を計算できます。
| 求めたい値: | 使用する Analytics 関数 |
|---|---|
| 現在価値 |
PVANNUITY( ) 21243.39 が返されます。 FVANNUITY(0.01, 12, 1000) |
| 将来価値 |
FVANNUITY( ) 26973.46 を返す: FVANNUITY(0.01, 24, 1000) |
| 1 期間あたりの支払金額 |
PMT( ) 1000 が返されます。 PMT(0.01, 24, 21243.39) |
| 1 期間あたりの利率 |
RATE( ) 0.00999999(1%)を返す: RATE(24, 1000, 21243.39) |
| 期間の数 |
NPER( ) 24.00 が返されます。 NPER(0.01, 1000, 21243.39) |
年金の式
期末年金(期末払い)の現在価値を計算する式:
期末年金(期末払い)の将来価値を計算する式: