Função RATE( )
Retorna a taxa de juros por período.
Sintaxe
RATE(períodos; pagamento; valor)
Parâmetros
| Nome | Tipo | Descrição |
|---|---|---|
| períodos | numérico |
O número total de períodos de pagamento. |
| pagamento | numérico |
O pagamento por período. |
| valor | numérico |
O valor principal do empréstimo. |
Observação
A função RATE( ) pressupõe que os pagamentos sejam efetuados no final de cada período.
Saída
Numérico. A taxa é calculada com oito casas decimais.
Exemplos
Exemplos básicos
Retorna 0,00541667 (0,54%), os juros mensais resultantes de um empréstimo de US$ 275.000 por 25 anos com pagamentos mensais de US$ 1.856,82:
RATE(12*25; 1856,82; 275000)
Retorna 0,06500004 (6,5%), a taxa de juros anual decorrente do mesmo empréstimo:
RATE(12*25; 1856,82; 275000)*12
Exemplos avançados
Conversão da taxa nominal na taxa efetiva
A função RATE( ) calcula a taxa de juros nominal. Você pode usar a função EFFECTIVE( ) para converter o resultado de RATE( ) na taxa de juros efetiva.
Retorna 0,06715155 (6,7%), a taxa de juros anual efetiva decorrente do empréstimo nos exemplos acima:
EFFECTIVE((RATE(12*25; 1856,82; 275000)*12); 12*25)
Cálculos de anuidade
Os cálculos de anuidade envolvem quatro variáveis:
- valor presente ou valor futuro US$ 21.243,39 e US$ 26.973,46 nos exemplos abaixo
- valor do pagamento por período US$ 1.000,00 nos exemplos abaixo
- taxa de juros por período 1% por mês nos exemplos abaixo
- número de períodos 24 meses nos exemplos abaixo
Se você souber o valor de três das variáveis, poderá usar uma função do Analytics para calcular a quarta.
| Eu quero descobrir: | Função do Analytics a ser usada: |
|---|---|
| Valor presente |
PVANNUITY( ) Retorna 21243,39: PVANNUITY(0,01; 24; 1000) |
| Valor futuro |
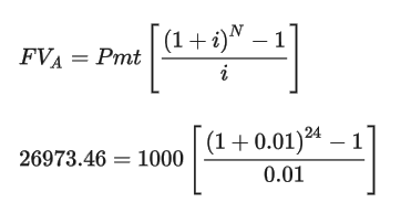
FVANNUITY( ) Retorna 26973,46: FVANNUITY(0,01; 24; 1000) |
| Valor do pagamento por período |
PMT( ) Retorna 1000: PMT(0,01; 24; 21243,39) |
| Taxa de juros por período |
RATE( ) Retorna 0,00999999 (1%): RATE(24; 1000; 21243,39) |
| Número de períodos |
NPER( ) Retorna 24,00: NPER(0,01; 1000; 21243,39) |
Fórmulas de anuidade
A fórmula para calcular o valor presente de uma anuidade ordinária (pagamento no final de um período):
A fórmula para calcular o valor futuro de uma anuidade ordinária (pagamento no final de um período):