RATE( ) 函数
返回每期的利率。
语法
RATE(期间, 付款, 金额)
参数
| 名称 | 类型 | 描述 |
|---|---|---|
| 期间 | 数值 |
付款期间总数。 |
| 付款 | 数值 |
每个期间的付款。 |
| 金额 | 数值 |
贷款的本金金额。 |
说明
RATE( ) 函数假设在每个期末付款。
输出
数值。利率的计算精确度是八位小数。
示例
基本示例
返回 0.00541667 (0.54%),这是二十五年期 $275,000 贷款的月利率,每月付款 $1,856.82:
RATE(12*25, 1856.82, 275000)
返回 0.06500004 (6.5%),它是相同贷款的年利率:
RATE(12*25, 1856.82, 275000)*12
高级示例
将名义利率转换为有效利率
RATE( ) 函数计算名义利率。您可以使用 EFFECTIVE( ) 将 RATE( ) 的结果转换为有效利率。
返回 0.06715155 (6.7%),这是上面示例中贷款的有效年利率:
EFFECTIVE((RATE(12*25, 1856.82, 275000)*12), 12*25)
年金计算
年金计算涉及四个变量:
- 现值或终值 在下例中为 $21,243.39 和 $ 26,973.46
- 每个期间的付款金额 在下例中为 $1,000.00
- 每个期间的利率 在下例中为 1%/月
- 期间数 在下面的示例中为 24 个月
如果您知道其中三个变量的值,就可以使用 Analytics 函数计算第四个变量的值。
| 我想要知道: | 要使用的 Analytics 函数: |
|---|---|
| 现值 |
PVANNUITY( ) 返回 21243.39: PVANNUITY(0.01, 24, 1000) |
| 终值 |
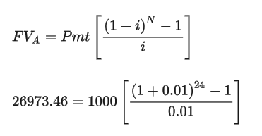
FVANNUITY( ) 返回 26973.46: FVANNUITY(0.01, 24, 1000) |
| 每个期间的付款金额 |
PMT( ) 返回 1000: PMT(0.01, 24, 21243.39) |
| 每个期间的利率 |
RATE( ) 返回 0.00999999 (1%): RATE(24, 1000, 21243.39) |
| 期间数 |
NPER( ) 返回 24.00: NPER(0.01, 1000, 21243.39) |
年金公式
用于计算普通年金(在期末付款)的现值的公式:
用于计算普通年金(在期末付款)的终值的公式: