NPER( )-Funktion

Gibt die Anzahl von Perioden bis zur vollständigen Rückzahlung eines Kredits zurück.

Syntax

NPER(Zinssatz; Zahlung; Betrag; Typ>)

Parameter

Name Art Beschreibung
Zinssatz numerisch

Der Zinssatz pro Periode.

Zahlung numerisch

Die Zahlung pro Periode.

Betrag numerisch

Die Höhe des Kredits.

Typ

optional

numerisch

Das Timing der Zahlungen:

  • 0 – Zahlung am Ende einer Periode
  • 1 – Zahlung am Beginn einer Periode

Durch Auslassen wird der Standardwert „0“ verwendet.

Ausgabe

Numerisch.

Beispiele

Einfache Beispiele

Gibt „300,00“ zurück, die Monatsanzahl, die zur Rückzahlung eines Kredits von 275.000 EUR zu 6,5% jährlich notwendig ist, falls die Zahlungen von 1.856,82 EUR am Monatsende fällig sind:

NPER(0,065/12; 1856,82; 275000; 0)

Gibt „252,81“ zurück, die Monatsanzahl, die zur Rückzahlung desselben Kredits notwendig ist, falls die Zahlungen von 2.000 EUR am Monatsende fällig sind:

NPER(0,065/12; 2000; 275000; 0)

Gibt „249,92“ zurück, die Monatsanzahl, die zur Rückzahlung desselben Kredits notwendig ist, falls die Zahlungen von 2.000 EUR am Monatsbeginn fällig sind:

NPER(0,065/12; 2000; 275000; 1)

Weiterführende Beispiele

Annuitätsberechnungen

Annuitätsberechnungen umfassen vier Variablen:

  • Aktueller Wert oder zukünftiger Wert$21.243,39 und $26.973,46 in den Beispielen unten
  • Zahlungsbetrag pro Periode$1.000,00 in den folgenden Beispielen
  • Zinssatz pro Periode1 % pro Monat in den folgenden Beispielen
  • Anzahl Perioden24 Monate in den folgenden Beispielen

Wenn Sie den Wert von drei der Variablen kennen, können Sie eine Analytics-Funktion zur Berechnung der vierten verwenden.

Gesucht: Zu verwendende Analytics-Funktion:
Barwert

PVANNUITY( )

Gibt 21243,39 zurück:

PVANNUITY(0,01; 24; 1000)
Zukunftswert

FVANNUITY( )

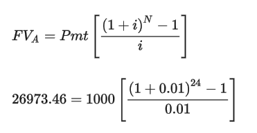
Gibt 26973,46 zurück:

FVANNUITY(0,01; 24; 1000)
Zahlungsbetrag pro Periode

PMT( )

Gibt 1000 zurück:

PMT(0,01; 24; 21243,39)
Zinssatz pro Periode.

RATE( )

Gibt „0,00999999“ (1%) zurück:

RATE(24; 1000; 21243,39)
Anzahl Perioden

NPER( )

Gibt 24,00 zurück:

NPER(0,01; 1000; 21243,39)

Annuitätsformeln

Die Formel zur Berechnung des Barwerts einer nachschüssigen Annuität (Zahlung am Ende einer Periode):

Die Formel zur Berechnung des Zukunftswerts einer nachschüssigen Annuität (Zahlung am Ende einer Periode):