Función PVANNUITY( )

Devuelve el valor presente de una serie de pagos futuros que se calculan utilizando una tasa de interés constante. El valor presente es el valor de suma global, actual.

Sintaxis

PVANNUITY(tasa; períodos; pago <;tipo>)

Parámetros

Nombre Tipo Descripción
tasa numérico

La tasa de interés por período.

períodos numérico

El número total de períodos de pago.

pago numérico

El pago por período.

El importe del pago debe ser constante durante el período de validez de la renta vitalicia.

Tipo de

opcional

numérico

El momento de los pagos:

  • 0: pago al final de un período
  • 1: pago al principio de un período

Si se omite, se utiliza el valor predeterminado 0.

Nota

Debe usar períodos de tiempo uniformes al especificar la tasa, los períodos y el pago a fin de asegurarse de estar especificando la tasa de interés por período.

Por ejemplo:

  • para un pago mensual en una inversión o un préstamo a dos años, con un interés del 5 % anual, especifique 0.05/12 para la tasa y 2 * 12 para los períodos
  • para un pago anual del mismo préstamo o inversión, especifique 0.05 para la tasa y 2 para los períodos

Salida

Numérico. El resultado se calcula con dos lugares decimales.

Ejemplos

Ejemplos básicos

Pagos mensuales

Devuelve 21455,82, el valor presente de $1.000 pagado al inicio de cada mes durante 2 años al 1 % mensual, compuesto mensualmente:

PVANNUITY(0,01; 2*12; 1000; 1)

Pagos anuales

Devuelve 20280,61, el valor presente de $12.000 pagado al final de cada año durante dos años al 12 % anual, compuesto anualmente:

PVANNUITY(0,12; 2; 12000; 0)

Ejemplos avanzados

Cálculos de las anualidades

Los cálculos de las anualidades involucran cuatro variables:

  • valor actual o valor futuro$21,243.39 y $26,973.46 en los ejemplos a continuación
  • importe de pago por período$1,000,00 en los ejemplos a continuación
  • tasa de interés por período1% por mes en los ejemplos a continuación
  • cantidad de períodos24 meses en los ejemplos a continuación

Si conoce el valor de tres de las variables, puede utilizar una función de Analytics para calcular el cuarto valor.

Si desea determinar: Función de Analytics que se debe usar:
Valor presente

PVANNUITY( )

Devuelve 21243.39:

PVANNUITY(0.01; 24; 1000)
Valor futuro

FVANNUITY( )

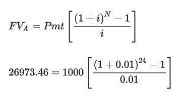
Devuelve 26973.46:

FVANNUITY(0.01; 24; 1000)
Importe de pago por período

PMT( )

Devuelve 1000:

PMT(0.01; 24; 21243.39)
Tasa de interés por período

RATE( )

Devuelve 0.00999999 (1 %):

RATE(24, 1000, 21243.39)
Número de períodos

NPER( )

Devuelve 24.00:

NPER(0.01, 1000, 21243.39)

Fórmulas para la anualidad

La fórmula para calcular el valor presente de una anualidad ordinaria (pago al final de un período):

La fórmula para calcular el valor futuro de una anualidad ordinaria (pago al final de un período):

Observaciones

Funciones relacionadas

La función FVANNUITY( ) es la inversa de la función PVANNUITY( ).